Approximating alpha-capture#
pynucastro can use rate approximations for \(A(\alpha,\gamma)B\) and \(A(\alpha,p)X(p,\gamma)B\), combining them into a single effective rate by assuming that the protons and nucleus \(X\) are in equilibrium.
import pynucastro as pyna
import numpy as np
import matplotlib.pyplot as plt
from scipy.integrate import solve_ivp
Let’s create a simple network that has both an \((\alpha, \gamma)\) and \((\alpha, p)(p, \gamma)\) sequence.
reaclib_library = pyna.ReacLibLibrary()
mylib = reaclib_library.linking_nuclei(["mg24", "al27", "si28", "p31", "s32", "he4", "p"])
pynet = pyna.PythonNetwork(libraries=[mylib], verbose=True)
fig = pynet.plot(rotated=True, curved_edges=True)

pynet.write_network("full_net.py")
import full_net
Integrating the full network#
Now let’s integrate this. We’ll start with half \({}^{24}\mathrm{Mg}\) and half \(\alpha\) by mass.
rho = 1.e7
T = 3e9
X0 = np.zeros(full_net.nnuc)
X0[full_net.jhe4] = 0.5
X0[full_net.jmg24] = 0.5
Y0 = X0 / full_net.A
tmax = 1.e-3
sol = solve_ivp(full_net.rhs, [0, tmax], Y0, method="BDF",
dense_output=True, args=(rho, T), rtol=1.e-6, atol=1.e-10)
fig = plt.figure()
ax = fig.add_subplot(111)
for i in range(full_net.nnuc):
ax.loglog(sol.t, sol.y[i,:] * full_net.A[i], label=f"X({full_net.names[i].capitalize()})")
ax.legend()
ax.set_xlim(1.e-10, 1.e-3)
ax.set_ylim(1.e-12, 1)
fig.set_size_inches((10, 8))

Approximate version#
Now we will approximate the rates, combining \((\alpha, \gamma)\) and \((\alpha, p)(p, \gamma)\) into a single effective rate.
The routine make_ap_pg_approx()
will find all of the rates that make up that sequence and create a
single ApproximateRate
that captures the effective rate. The original rates will still be stored in the ApproximateRate
object and will be evaluated to compute the needed approximation when the effective rate is evaluated.
pynet.make_ap_pg_approx()
using approximate rate Mg24 + He4 ⟶ Si28 + 𝛾
using approximate rate Si28 ⟶ Mg24 + He4
using approximate rate Si28 + He4 ⟶ S32 + 𝛾
using approximate rate S32 ⟶ Si28 + He4
removing rate Mg24 + He4 ⟶ Si28 + 𝛾
removing rate Mg24 + He4 ⟶ p + Al27
removing rate Al27 + p ⟶ Si28 + 𝛾
removing rate Si28 ⟶ He4 + Mg24
removing rate Si28 ⟶ p + Al27
removing rate Al27 + p ⟶ He4 + Mg24
removing rate Si28 + He4 ⟶ S32 + 𝛾
removing rate Si28 + He4 ⟶ p + P31
removing rate P31 + p ⟶ S32 + 𝛾
removing rate S32 ⟶ He4 + Si28
removing rate S32 ⟶ p + P31
removing rate P31 + p ⟶ He4 + Si28
pynet
P31 ⟶ He4 + Al27
Al27 + He4 ⟶ P31 + 𝛾
Mg24 + He4 ⟶ Si28 + 𝛾
Si28 ⟶ Mg24 + He4
Si28 + He4 ⟶ S32 + 𝛾
S32 ⟶ Si28 + He4
Since we no longer care about the \({}^{27}\mathrm{Al}\) and \({}^{31}\mathrm{P}\), we can remove them from the network. The ApproximateRate
object still knows that these are the intermediate nucleus, but now they
won’t explicitly appear as one of the nuclei in the network.
pynet.remove_nuclei(["al27", "p31"])
looking to remove P31 ⟶ He4 + Al27
looking to remove Al27 + He4 ⟶ P31 + 𝛾
looking to remove P31 ⟶ He4 + Al27
looking to remove Al27 + He4 ⟶ P31 + 𝛾
Note
Since no reactions consume protons after that removal, the protons are all removed from the network, reducing its size from 7 nuclei to 4.
print(pynet.network_overview())
He4
consumed by:
Mg24 + He4 ⟶ Si28 + 𝛾
Si28 + He4 ⟶ S32 + 𝛾
produced by:
Si28 ⟶ Mg24 + He4
S32 ⟶ Si28 + He4
Mg24
consumed by:
Mg24 + He4 ⟶ Si28 + 𝛾
produced by:
Si28 ⟶ Mg24 + He4
Si28
consumed by:
Si28 ⟶ Mg24 + He4
Si28 + He4 ⟶ S32 + 𝛾
produced by:
Mg24 + He4 ⟶ Si28 + 𝛾
S32 ⟶ Si28 + He4
S32
consumed by:
S32 ⟶ Si28 + He4
produced by:
Si28 + He4 ⟶ S32 + 𝛾
fig = pynet.plot(rotated=True, curved_edges=True)

As we see above, the nuclei \({}^{27}\mathrm{Al}\) and \({}^{31}\mathrm{P}\) no longer appear in the network, but the links to them are still understood to the network. This reduces the size of the network, while still preserving those flows.
pynet.write_network("approx_net.py")
import approx_net
The PythonNetwork
knows how to write out the code needed to evaluate the rate approximation. For instance, the evolution of \({}^{4}\mathrm{He}\) is determined as:
print(pynet.full_ydot_string(pyna.Nucleus("he4")))
dYdt[jhe4] = (
( -rho*Y[jhe4]*Y[jmg24]*rate_eval.Mg24_He4__Si28__approx +Y[jsi28]*rate_eval.Si28__Mg24_He4__approx ) +
( -rho*Y[jhe4]*Y[jsi28]*rate_eval.Si28_He4__S32__approx +Y[js32]*rate_eval.S32__Si28_He4__approx )
)
And the rate approximations are computed as:
r = pynet.get_rate("mg24_he4__si28__approx")
print(r.function_string_py())
@numba.njit()
def Mg24_He4__Si28__approx(rate_eval, tf):
r_ag = rate_eval.He4_Mg24__Si28__removed
r_ap = rate_eval.He4_Mg24__p_Al27__removed
r_pg = rate_eval.p_Al27__Si28__removed
r_pa = rate_eval.p_Al27__He4_Mg24__removed
rate = r_ag + r_ap * r_pg / (r_pg + r_pa)
rate_eval.Mg24_He4__Si28__approx = rate
where the 4 lines before the rate approximation is made are evaluating the original, unapproximated rates.
Integrating the approximate network#
Let’s integrate this approximate net and compare to above
rho = 1.e7
T = 3.e9
X0 = np.zeros(approx_net.nnuc)
X0[approx_net.jhe4] = 0.5
X0[approx_net.jmg24] = 0.5
Y0 = X0 / approx_net.A
tmax = 1.e-3
approx_sol = solve_ivp(approx_net.rhs, [0, tmax], Y0, method="BDF",
dense_output=True, args=(rho, T), rtol=1.e-6, atol=1.e-10)
fig = plt.figure()
ax = fig.add_subplot(111)
for i in range(approx_net.nnuc):
ax.loglog(approx_sol.t, approx_sol.y[i,:] * approx_net.A[i], label=f"X({approx_net.names[i].capitalize()})")
ax.legend()
ax.set_xlim(1.e-10, 1.e-3)
ax.set_ylim(1.e-10, 1)
fig.set_size_inches((10, 8))

Comparison#
Let’s plot both on the same axes to see the comparison.
fig = plt.figure()
ax = fig.add_subplot(111)
for i in range(approx_net.nnuc):
ax.loglog(approx_sol.t, approx_sol.y[i,:] * approx_net.A[i],
linestyle=":", color=f"C{i}")
idx = full_net.names.index(approx_net.names[i])
ax.loglog(sol.t, sol.y[idx,:] * full_net.A[idx],
label=f"X({full_net.names[idx].capitalize()})",
linestyle="-", color=f"C{i}")
ax.legend()
ax.set_xlim(1.e-10, 1.e-3)
ax.set_ylim(1.e-10, 1)
fig.set_size_inches((10, 8))

Here the dotted line is the approximate network. We see that the results agree well.
No approximation#
What if we just create a 4 nuclei network without the \((\alpha,p)(p,\gamma)\) links? How does this compare?
newlib = reaclib_library.linking_nuclei(["he4", "mg24", "si28", "s32"])
newpynet = pyna.PythonNetwork(libraries=[newlib])
fig = newpynet.plot(rotated=True, curved_edges=True)

newpynet.write_network("simple_net.py")
import simple_net
rho = 1.e7
T = 3e9
X0 = np.zeros(simple_net.nnuc)
X0[simple_net.jhe4] = 0.5
X0[simple_net.jmg24] = 0.5
Y0 = X0 / simple_net.A
simple_net.names == approx_net.names
True
tmax = 1.e-3
simple_sol = solve_ivp(simple_net.rhs, [0, tmax], Y0, method="BDF",
dense_output=True, args=(rho, T), rtol=1.e-6, atol=1.e-10)
fig = plt.figure()
ax = fig.add_subplot(111)
for i in range(approx_net.nnuc):
ax.loglog(approx_sol.t, approx_sol.y[i,:] * approx_net.A[i],
linestyle=":", color=f"C{i}")
idx = full_net.names.index(approx_net.names[i])
ax.loglog(sol.t, sol.y[idx,:] * full_net.A[idx],
label=f"X({full_net.names[idx].capitalize()})",
linestyle="-", color=f"C{i}")
idx = simple_net.names.index(approx_net.names[i])
ax.loglog(simple_sol.t, simple_sol.y[idx,:] * simple_net.A[idx],
linestyle="--", color=f"C{i}")
ax.legend()
ax.set_xlim(1.e-10, 1.e-3)
ax.set_ylim(1.e-10, 1)
fig.set_size_inches((10, 8))

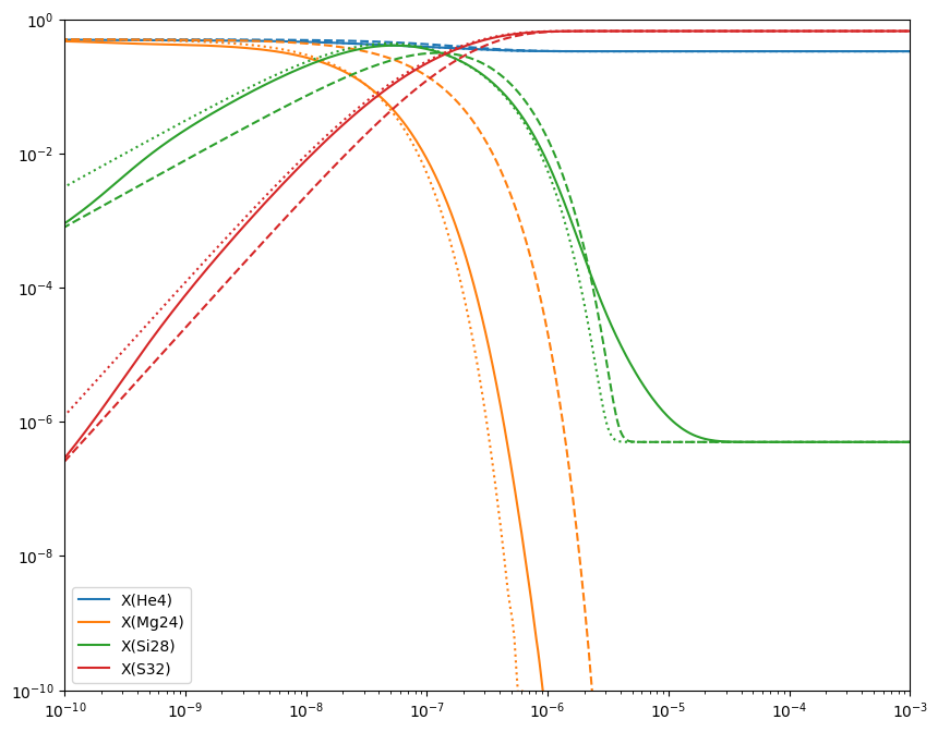
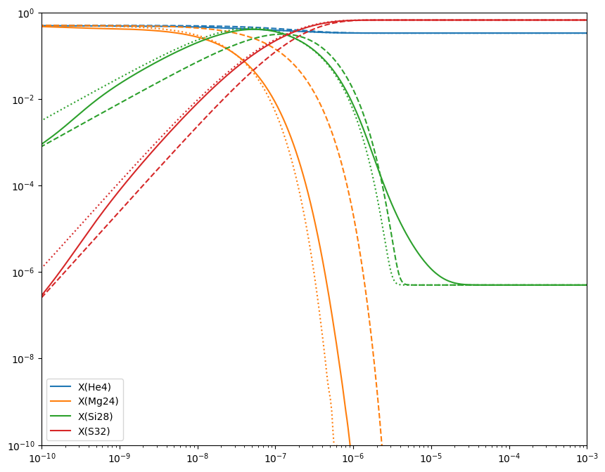
Here we see all 3 networks. The full network (7 nuclei) is the solid lines. The approximate version of that is the dotted line. We see that they track reasonably well, especially when the abundance is high. The dashed line is the version of the network that has the same 4 nuclei as the approximate network, but with out approximating the \((\alpha, p)(p,\gamma)\) links, so we see that the \({}^{24}\mathrm{Mg}\) takes longer to burn.